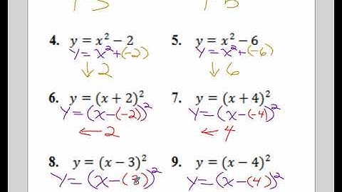
Envision Algebra 1 - 8.2 Quadratic Functions in Vertex Form

Tonton & Download Video Musik Gratis

⬇ DOWNLOAD NOW
Jika muncul iklan pop-up, tutup lalu klik tombol kembali

Download lagu Envision Algebra 1 - 8.2 Quadratic Functions in Vertex Form secara gratis hanya untuk keperluan promosi. Dukung artis favorit kamu dengan membeli musik original di iTunes atau platform resmi lainnya.