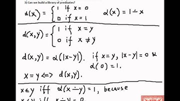
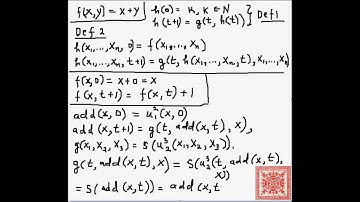
Theory of Computation: Primitive Recursively Closed Classes of Functions (Part 03)

Tonton & Download Video Musik Gratis

⬇ DOWNLOAD NOW
Jika muncul iklan pop-up, tutup lalu klik tombol kembali

Download lagu Theory of Computation: Primitive Recursively Closed Classes of Functions (Part 03) secara gratis hanya untuk keperluan promosi. Dukung artis favorit kamu dengan membeli musik original di iTunes atau platform resmi lainnya.