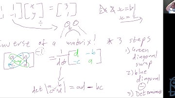
How to find Inverse Matrix ( O Level / IGCSE Mathematics)

Tonton & Download Video Musik Gratis

⬇ DOWNLOAD NOW
Jika muncul iklan pop-up, tutup lalu klik tombol kembali

Download lagu How to find Inverse Matrix ( O Level / IGCSE Mathematics) secara gratis hanya untuk keperluan promosi. Dukung artis favorit kamu dengan membeli musik original di iTunes atau platform resmi lainnya.