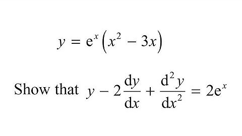
Edexcel Further Pure Maths IGCSE (2017) SAM Paper 1 Q11

Tonton & Download Video Musik Gratis

⬇ DOWNLOAD NOW
Jika muncul iklan pop-up, tutup lalu klik tombol kembali

Download lagu Edexcel Further Pure Maths IGCSE (2017) SAM Paper 1 Q11 secara gratis hanya untuk keperluan promosi. Dukung artis favorit kamu dengan membeli musik original di iTunes atau platform resmi lainnya.