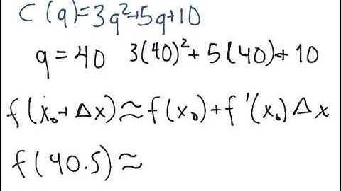
Approximation by Increments (Applied Calculus, Sec 2.5 part 2)

Tonton & Download Video Musik Gratis

⬇ DOWNLOAD NOW
Jika muncul iklan pop-up, tutup lalu klik tombol kembali

Download lagu Approximation by Increments (Applied Calculus, Sec 2.5 part 2) secara gratis hanya untuk keperluan promosi. Dukung artis favorit kamu dengan membeli musik original di iTunes atau platform resmi lainnya.