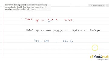
Q54 | The average age of A B C D and E is 40 years. The average age of A and B is 35 years and

Tonton & Download Video Musik Gratis

⬇ DOWNLOAD NOW
Jika muncul iklan pop-up, tutup lalu klik tombol kembali

Download lagu Q54 | The average age of A B C D and E is 40 years. The average age of A and B is 35 years and secara gratis hanya untuk keperluan promosi. Dukung artis favorit kamu dengan membeli musik original di iTunes atau platform resmi lainnya.