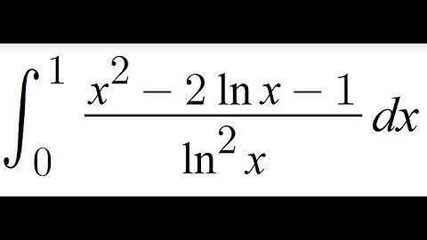
Feynman Integration Example 121 - ∫ from 0 to ∞ of (sin(2 ln²(x)) / ((x + 1) ln²(x))) dx

Tonton & Download Video Musik Gratis

⬇ DOWNLOAD NOW
Jika muncul iklan pop-up, tutup lalu klik tombol kembali

Download lagu Feynman Integration Example 121 - ∫ from 0 to ∞ of (sin(2 ln²(x)) / ((x + 1) ln²(x))) dx secara gratis hanya untuk keperluan promosi. Dukung artis favorit kamu dengan membeli musik original di iTunes atau platform resmi lainnya.