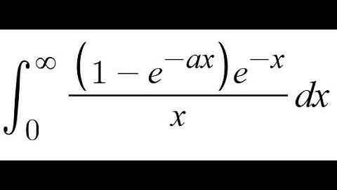
Feynman Integration Example 48 - Integral from 0 to ∞ of x/(e^x-1) dx

Tonton & Download Video Musik Gratis

⬇ DOWNLOAD NOW
Jika muncul iklan pop-up, tutup lalu klik tombol kembali

Download lagu Feynman Integration Example 48 - Integral from 0 to ∞ of x/(e^x-1) dx secara gratis hanya untuk keperluan promosi. Dukung artis favorit kamu dengan membeli musik original di iTunes atau platform resmi lainnya.