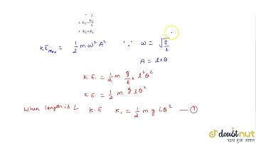
A pendulum is executing simple harmonic motion and its maximum kinetic energy is

Tonton & Download Video Musik Gratis

⬇ DOWNLOAD NOW
Jika muncul iklan pop-up, tutup lalu klik tombol kembali

Download lagu A pendulum is executing simple harmonic motion and its maximum kinetic energy is secara gratis hanya untuk keperluan promosi. Dukung artis favorit kamu dengan membeli musik original di iTunes atau platform resmi lainnya.