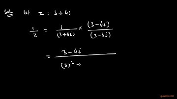
how to find multiplicative inverse of complex number #maths #shorts #complexnumbers

Tonton & Download Video Musik Gratis

⬇ DOWNLOAD NOW
Jika muncul iklan pop-up, tutup lalu klik tombol kembali

Download lagu how to find multiplicative inverse of complex number #maths #shorts #complexnumbers secara gratis hanya untuk keperluan promosi. Dukung artis favorit kamu dengan membeli musik original di iTunes atau platform resmi lainnya.