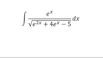
Q) If Integration ∫ Integration e^x dx/ √(5-4e^x-e^2x) d𝑥 #cbse2024 #CBSE2025 #cbse #integration

Tonton & Download Video Musik Gratis

⬇ DOWNLOAD NOW
Jika muncul iklan pop-up, tutup lalu klik tombol kembali

Download lagu Q) If Integration ∫ Integration e^x dx/ √(5-4e^x-e^2x) d𝑥 #cbse2024 #CBSE2025 #cbse #integration secara gratis hanya untuk keperluan promosi. Dukung artis favorit kamu dengan membeli musik original di iTunes atau platform resmi lainnya.