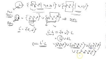
Why are DCFL not closed under concatenation or Union whereas CFL is? (3 Solutions!!)

Tonton & Download Video Musik Gratis

⬇ DOWNLOAD NOW
Jika muncul iklan pop-up, tutup lalu klik tombol kembali

Download lagu Why are DCFL not closed under concatenation or Union whereas CFL is? (3 Solutions!!) secara gratis hanya untuk keperluan promosi. Dukung artis favorit kamu dengan membeli musik original di iTunes atau platform resmi lainnya.