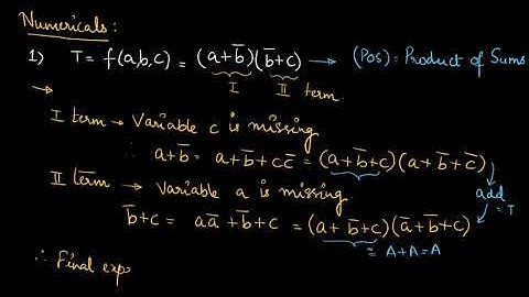
POS to SPOS Conversion | Minimal to Canonical form | Boolean Expression Solving

Tonton & Download Video Musik Gratis

⬇ DOWNLOAD NOW
Jika muncul iklan pop-up, tutup lalu klik tombol kembali

Download lagu POS to SPOS Conversion | Minimal to Canonical form | Boolean Expression Solving secara gratis hanya untuk keperluan promosi. Dukung artis favorit kamu dengan membeli musik original di iTunes atau platform resmi lainnya.