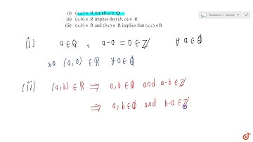
Example 19 Ch 2 R&F Misc 11th Let R be a relation from Q to Q defined by R = {(a, b): a, b ∈ Q and

Tonton & Download Video Musik Gratis

⬇ DOWNLOAD NOW
Jika muncul iklan pop-up, tutup lalu klik tombol kembali

Download lagu Example 19 Ch 2 R&F Misc 11th Let R be a relation from Q to Q defined by R = {(a, b): a, b ∈ Q and secara gratis hanya untuk keperluan promosi. Dukung artis favorit kamu dengan membeli musik original di iTunes atau platform resmi lainnya.