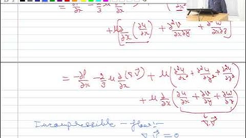
Lecture 26 - Part a: Introduction to Discretization of 2D Incompressible Navier-Stokes Eqs.

Tonton & Download Video Musik Gratis

⬇ DOWNLOAD NOW
Jika muncul iklan pop-up, tutup lalu klik tombol kembali

Download lagu Lecture 26 - Part a: Introduction to Discretization of 2D Incompressible Navier-Stokes Eqs. secara gratis hanya untuk keperluan promosi. Dukung artis favorit kamu dengan membeli musik original di iTunes atau platform resmi lainnya.