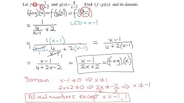
Find the Composition (g∘f)(x) of Two Rational Functions and Its Domain

Tonton & Download Video Musik Gratis

⬇ DOWNLOAD NOW
Jika muncul iklan pop-up, tutup lalu klik tombol kembali

Download lagu Find the Composition (g∘f)(x) of Two Rational Functions and Its Domain secara gratis hanya untuk keperluan promosi. Dukung artis favorit kamu dengan membeli musik original di iTunes atau platform resmi lainnya.