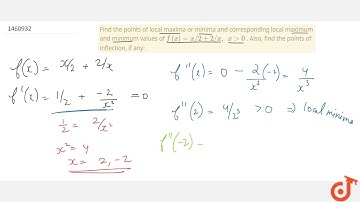
JEE MAINS 2018 Find the maximum and minimum values of `f(x)=x^(50)-x^(20)` in the interval `[0,1...

Tonton & Download Video Musik Gratis

⬇ DOWNLOAD NOW
Jika muncul iklan pop-up, tutup lalu klik tombol kembali

Download lagu JEE MAINS 2018 Find the maximum and minimum values of `f(x)=x^(50)-x^(20)` in the interval `[0,1... secara gratis hanya untuk keperluan promosi. Dukung artis favorit kamu dengan membeli musik original di iTunes atau platform resmi lainnya.