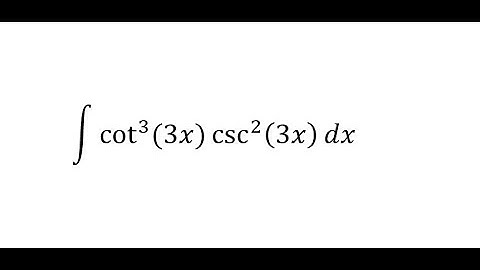
Integral of sqrt(cot(3x))*csc^2(3x) with u-substitution

Tonton & Download Video Musik Gratis

⬇ DOWNLOAD NOW
Jika muncul iklan pop-up, tutup lalu klik tombol kembali

Download lagu Integral of sqrt(cot(3x))*csc^2(3x) with u-substitution secara gratis hanya untuk keperluan promosi. Dukung artis favorit kamu dengan membeli musik original di iTunes atau platform resmi lainnya.