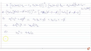
Pvt log(2a/(1-a²)+2b/(1-b²)+2c/(1-c²))= log(2a/1-a²)+ log(2b/1-b²)+log(2c/1-c²)

Tonton & Download Video Musik Gratis

⬇ DOWNLOAD NOW
Jika muncul iklan pop-up, tutup lalu klik tombol kembali

Download lagu Pvt log(2a/(1-a²)+2b/(1-b²)+2c/(1-c²))= log(2a/1-a²)+ log(2b/1-b²)+log(2c/1-c²) secara gratis hanya untuk keperluan promosi. Dukung artis favorit kamu dengan membeli musik original di iTunes atau platform resmi lainnya.