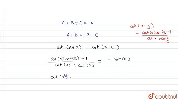
If \( A+B+C=\pi / 2 \), show that \( \cot A+\cot B+\cot C=\cot A \cot B \cot C \)

Tonton & Download Video Musik Gratis

⬇ DOWNLOAD NOW
Jika muncul iklan pop-up, tutup lalu klik tombol kembali

Download lagu If \( A+B+C=\pi / 2 \), show that \( \cot A+\cot B+\cot C=\cot A \cot B \cot C \) secara gratis hanya untuk keperluan promosi. Dukung artis favorit kamu dengan membeli musik original di iTunes atau platform resmi lainnya.