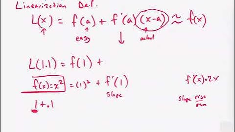
How to linearize f(x)=x/(1+,x^2) at a=1, calculus 1 tutorial

Tonton & Download Video Musik Gratis

⬇ DOWNLOAD NOW
Jika muncul iklan pop-up, tutup lalu klik tombol kembali

Download lagu How to linearize f(x)=x/(1+,x^2) at a=1, calculus 1 tutorial secara gratis hanya untuk keperluan promosi. Dukung artis favorit kamu dengan membeli musik original di iTunes atau platform resmi lainnya.