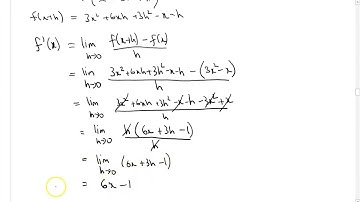
4-DIFFERENTIATION FROM FIRST PRICIPLES

Tonton & Download Video Musik Gratis

⬇ DOWNLOAD NOW
Jika muncul iklan pop-up, tutup lalu klik tombol kembali

Download lagu 4-DIFFERENTIATION FROM FIRST PRICIPLES secara gratis hanya untuk keperluan promosi. Dukung artis favorit kamu dengan membeli musik original di iTunes atau platform resmi lainnya.