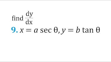
Class 12 Ex 5.6 Q9 Math | Differentiability | Q9 Ex 5.6 Class 12 Math | Ex 5.6 Q9 Class 12 Math

Tonton & Download Video Musik Gratis

тмЗ DOWNLOAD NOW
Jika muncul iklan pop-up, tutup lalu klik tombol kembali

Download lagu Class 12 Ex 5.6 Q9 Math | Differentiability | Q9 Ex 5.6 Class 12 Math | Ex 5.6 Q9 Class 12 Math secara gratis hanya untuk keperluan promosi. Dukung artis favorit kamu dengan membeli musik original di iTunes atau platform resmi lainnya.