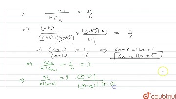
If ^(n+1)C_(r+1): ^nC_r: ^(n-1)C_(r-1)=11:6:2 find the values of n and r. | 12 | PERMUTATIONS AN...

Tonton & Download Video Musik Gratis

⬇ DOWNLOAD NOW
Jika muncul iklan pop-up, tutup lalu klik tombol kembali

Download lagu If ^(n+1)C_(r+1): ^nC_r: ^(n-1)C_(r-1)=11:6:2 find the values of n and r. | 12 | PERMUTATIONS AN... secara gratis hanya untuk keperluan promosi. Dukung artis favorit kamu dengan membeli musik original di iTunes atau platform resmi lainnya.