Tonton & Download Video Musik Gratis
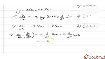
Download lagu Verify that the function`y = a cos x + b sin x` , where, a, `b in R` is a solution of the differ... secara gratis hanya untuk keperluan promosi. Dukung artis favorit kamu dengan membeli musik original di iTunes atau platform resmi lainnya.