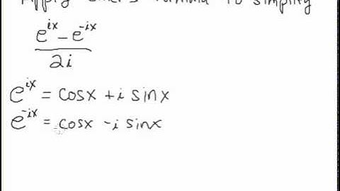
The Cosine and Sine in Terms of Complex Exponentials #math #maths #engineering

Tonton & Download Video Musik Gratis

⬇ DOWNLOAD NOW
Jika muncul iklan pop-up, tutup lalu klik tombol kembali

Download lagu The Cosine and Sine in Terms of Complex Exponentials #math #maths #engineering secara gratis hanya untuk keperluan promosi. Dukung artis favorit kamu dengan membeli musik original di iTunes atau platform resmi lainnya.