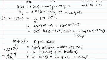
Introduction to Information Theory-16g. Examples for MI vs. Conditional MI

Tonton & Download Video Musik Gratis

⬇ DOWNLOAD NOW
Jika muncul iklan pop-up, tutup lalu klik tombol kembali

Download lagu Introduction to Information Theory-16g. Examples for MI vs. Conditional MI secara gratis hanya untuk keperluan promosi. Dukung artis favorit kamu dengan membeli musik original di iTunes atau platform resmi lainnya.