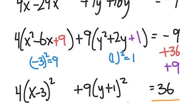
Writing the Standard Form of the Ellipse (Completing the Square) - Part 4 of 4

Tonton & Download Video Musik Gratis

⬇ DOWNLOAD NOW
Jika muncul iklan pop-up, tutup lalu klik tombol kembali

Download lagu Writing the Standard Form of the Ellipse (Completing the Square) - Part 4 of 4 secara gratis hanya untuk keperluan promosi. Dukung artis favorit kamu dengan membeli musik original di iTunes atau platform resmi lainnya.