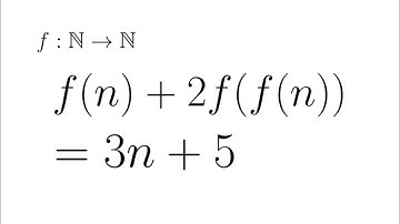
An Interesting Functional Equation Problem, German National Math Olympiad, 2022

Tonton & Download Video Musik Gratis

⬇ DOWNLOAD NOW
Jika muncul iklan pop-up, tutup lalu klik tombol kembali

Download lagu An Interesting Functional Equation Problem, German National Math Olympiad, 2022 secara gratis hanya untuk keperluan promosi. Dukung artis favorit kamu dengan membeli musik original di iTunes atau platform resmi lainnya.