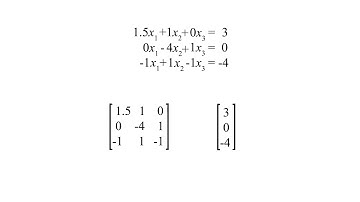
MATLAB R2018a SIMULTANEOUS EQUATION(MATRIX)

Tonton & Download Video Musik Gratis

⬇ DOWNLOAD NOW
Jika muncul iklan pop-up, tutup lalu klik tombol kembali

Download lagu MATLAB R2018a SIMULTANEOUS EQUATION(MATRIX) secara gratis hanya untuk keperluan promosi. Dukung artis favorit kamu dengan membeli musik original di iTunes atau platform resmi lainnya.