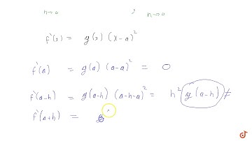
If `f(x)` and `g(x)` are continuous function g(a-x) = 2`, then what is `int

Tonton & Download Video Musik Gratis

⬇ DOWNLOAD NOW
Jika muncul iklan pop-up, tutup lalu klik tombol kembali

Download lagu If `f(x)` and `g(x)` are continuous function g(a-x) = 2`, then what is `int secara gratis hanya untuk keperluan promosi. Dukung artis favorit kamu dengan membeli musik original di iTunes atau platform resmi lainnya.