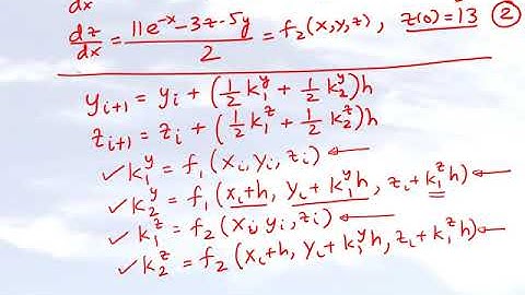
Chapter 08.05: Lesson: Higher Order Differential Equations: Example Heun's Method: Part 1 of 3

Tonton & Download Video Musik Gratis

⬇ DOWNLOAD NOW
Jika muncul iklan pop-up, tutup lalu klik tombol kembali

Download lagu Chapter 08.05: Lesson: Higher Order Differential Equations: Example Heun's Method: Part 1 of 3 secara gratis hanya untuk keperluan promosi. Dukung artis favorit kamu dengan membeli musik original di iTunes atau platform resmi lainnya.