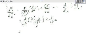
NCEA Level 3 Calculus Differentiation Tutorial - Parametric Equations

Tonton & Download Video Musik Gratis

⬇ DOWNLOAD NOW
Jika muncul iklan pop-up, tutup lalu klik tombol kembali

Download lagu NCEA Level 3 Calculus Differentiation Tutorial - Parametric Equations secara gratis hanya untuk keperluan promosi. Dukung artis favorit kamu dengan membeli musik original di iTunes atau platform resmi lainnya.