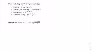
Introduction to Calculus/ Difference Quotient/follow up Exercise 2.1/lecture 7.

Tonton & Download Video Musik Gratis

⬇ DOWNLOAD NOW
Jika muncul iklan pop-up, tutup lalu klik tombol kembali

Download lagu Introduction to Calculus/ Difference Quotient/follow up Exercise 2.1/lecture 7. secara gratis hanya untuk keperluan promosi. Dukung artis favorit kamu dengan membeli musik original di iTunes atau platform resmi lainnya.