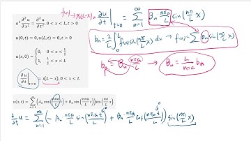
06. Solving the Wave Equation: Harder examples using Superposition Principle & Fourier Sine Series

Tonton & Download Video Musik Gratis

⬇ DOWNLOAD NOW
Jika muncul iklan pop-up, tutup lalu klik tombol kembali

Download lagu 06. Solving the Wave Equation: Harder examples using Superposition Principle & Fourier Sine Series secara gratis hanya untuk keperluan promosi. Dukung artis favorit kamu dengan membeli musik original di iTunes atau platform resmi lainnya.