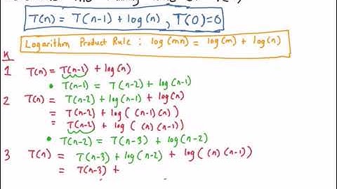
L-2.5: Recurrence Relation [ T(n)= T(n-1) +logn] | Substitution Method | Algorithm

Tonton & Download Video Musik Gratis

⬇ DOWNLOAD NOW
Jika muncul iklan pop-up, tutup lalu klik tombol kembali

Download lagu L-2.5: Recurrence Relation [ T(n)= T(n-1) +logn] | Substitution Method | Algorithm secara gratis hanya untuk keperluan promosi. Dukung artis favorit kamu dengan membeli musik original di iTunes atau platform resmi lainnya.