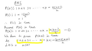
inter maths-1A mathematical induction academy textbook solutions exercise 2 (a) part -3

Tonton & Download Video Musik Gratis

⬇ DOWNLOAD NOW
Jika muncul iklan pop-up, tutup lalu klik tombol kembali

Download lagu inter maths-1A mathematical induction academy textbook solutions exercise 2 (a) part -3 secara gratis hanya untuk keperluan promosi. Dukung artis favorit kamu dengan membeli musik original di iTunes atau platform resmi lainnya.