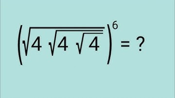
Algebra Problem Solved using Degree-6 ||Magical Concepts ||@AnilNairClasses ||#maths #ytshorts #math

Tonton & Download Video Musik Gratis

⬇ DOWNLOAD NOW
Jika muncul iklan pop-up, tutup lalu klik tombol kembali

Download lagu Algebra Problem Solved using Degree-6 ||Magical Concepts ||@AnilNairClasses ||#maths #ytshorts #math secara gratis hanya untuk keperluan promosi. Dukung artis favorit kamu dengan membeli musik original di iTunes atau platform resmi lainnya.