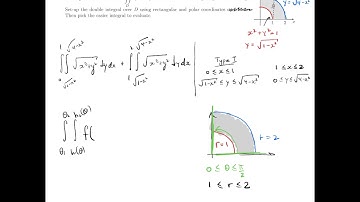
Multivariable Calculus and Probability 5.5 - Double Integrals in Polar Coordinates (3 of 4)

Tonton & Download Video Musik Gratis

⬇ DOWNLOAD NOW
Jika muncul iklan pop-up, tutup lalu klik tombol kembali

Download lagu Multivariable Calculus and Probability 5.5 - Double Integrals in Polar Coordinates (3 of 4) secara gratis hanya untuk keperluan promosi. Dukung artis favorit kamu dengan membeli musik original di iTunes atau platform resmi lainnya.