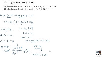
How to Solve Trigonometric Functions Long Question Add Maths SPM Example 5

Tonton & Download Video Musik Gratis

⬇ DOWNLOAD NOW
Jika muncul iklan pop-up, tutup lalu klik tombol kembali

Download lagu How to Solve Trigonometric Functions Long Question Add Maths SPM Example 5 secara gratis hanya untuk keperluan promosi. Dukung artis favorit kamu dengan membeli musik original di iTunes atau platform resmi lainnya.