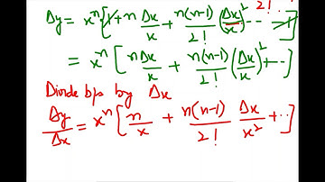
Differentiation of xn First Principle |Derivative|Ab initio method|Lecture-08| Physics Cosmos|

Tonton & Download Video Musik Gratis

⬇ DOWNLOAD NOW
Jika muncul iklan pop-up, tutup lalu klik tombol kembali

Download lagu Differentiation of xn First Principle |Derivative|Ab initio method|Lecture-08| Physics Cosmos| secara gratis hanya untuk keperluan promosi. Dukung artis favorit kamu dengan membeli musik original di iTunes atau platform resmi lainnya.