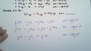
For two gaseous reactions, following data are given: \[ \begin{array}{l} \mathrm{A} \rightarrow ....

Tonton & Download Video Musik Gratis

⬇ DOWNLOAD NOW
Jika muncul iklan pop-up, tutup lalu klik tombol kembali

Download lagu For two gaseous reactions, following data are given: \[ \begin{array}{l} \mathrm{A} \rightarrow .... secara gratis hanya untuk keperluan promosi. Dukung artis favorit kamu dengan membeli musik original di iTunes atau platform resmi lainnya.