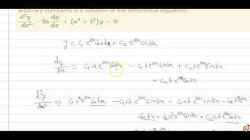
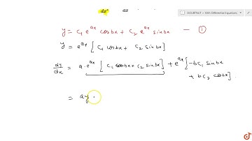
Verify that the function `y=c_1e^(a x)cosb x+c_2e^(a x)sinb x` , where `c_1,c_2` are arbitrary c...

Tonton & Download Video Musik Gratis

⬇ DOWNLOAD NOW
Jika muncul iklan pop-up, tutup lalu klik tombol kembali

Download lagu Verify that the function `y=c_1e^(a x)cosb x+c_2e^(a x)sinb x` , where `c_1,c_2` are arbitrary c... secara gratis hanya untuk keperluan promosi. Dukung artis favorit kamu dengan membeli musik original di iTunes atau platform resmi lainnya.