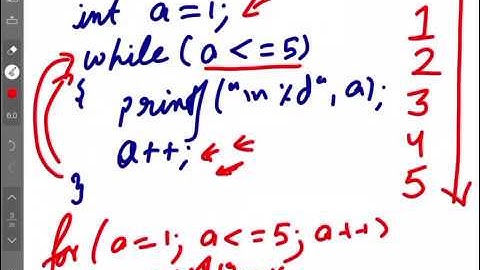
L-25 Iteration in C do while loop #anjaliluthra #bca #btech #bsc #placement #programming#coding

Tonton & Download Video Musik Gratis

⬇ DOWNLOAD NOW
Jika muncul iklan pop-up, tutup lalu klik tombol kembali

Download lagu L-25 Iteration in C do while loop #anjaliluthra #bca #btech #bsc #placement #programming#coding secara gratis hanya untuk keperluan promosi. Dukung artis favorit kamu dengan membeli musik original di iTunes atau platform resmi lainnya.