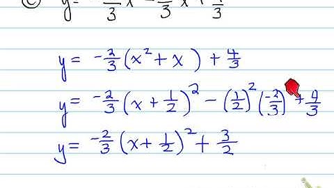
MCR3U Grade 11 Functions - Lesson 3: 1.3 Maximum or Minimum of a Quadratic Function

Tonton & Download Video Musik Gratis

⬇ DOWNLOAD NOW
Jika muncul iklan pop-up, tutup lalu klik tombol kembali

Download lagu MCR3U Grade 11 Functions - Lesson 3: 1.3 Maximum or Minimum of a Quadratic Function secara gratis hanya untuk keperluan promosi. Dukung artis favorit kamu dengan membeli musik original di iTunes atau platform resmi lainnya.