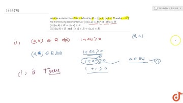
Let `R={(a,b):a,b inZ\" and \"(a-b)\" is even\"}.`

Tonton & Download Video Musik Gratis

⬇ DOWNLOAD NOW
Jika muncul iklan pop-up, tutup lalu klik tombol kembali

Download lagu Let `R={(a,b):a,b inZ\" and \"(a-b)\" is even\"}.` secara gratis hanya untuk keperluan promosi. Dukung artis favorit kamu dengan membeli musik original di iTunes atau platform resmi lainnya.