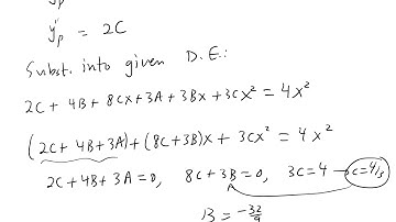
How to use the Annihilator Method to Solve a Differential Equation Example with y'' + 25y = 6sin(x)

Tonton & Download Video Musik Gratis

⬇ DOWNLOAD NOW
Jika muncul iklan pop-up, tutup lalu klik tombol kembali

Download lagu How to use the Annihilator Method to Solve a Differential Equation Example with y'' + 25y = 6sin(x) secara gratis hanya untuk keperluan promosi. Dukung artis favorit kamu dengan membeli musik original di iTunes atau platform resmi lainnya.