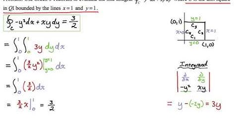
Using Green's Theorem to Evaluate a Line Integral over a Triangular Path (Notes 8, pg.14 #2)

Tonton & Download Video Musik Gratis

⬇ DOWNLOAD NOW
Jika muncul iklan pop-up, tutup lalu klik tombol kembali

Download lagu Using Green's Theorem to Evaluate a Line Integral over a Triangular Path (Notes 8, pg.14 #2) secara gratis hanya untuk keperluan promosi. Dukung artis favorit kamu dengan membeli musik original di iTunes atau platform resmi lainnya.