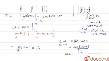
Evaluate the following integral: int_0^(pi//2)1/(5cos x+3sinx)dx | 12 | DEFINITE INTEGRALS | MAT...

Tonton & Download Video Musik Gratis

⬇ DOWNLOAD NOW
Jika muncul iklan pop-up, tutup lalu klik tombol kembali

Download lagu Evaluate the following integral: int_0^(pi//2)1/(5cos x+3sinx)dx | 12 | DEFINITE INTEGRALS | MAT... secara gratis hanya untuk keperluan promosi. Dukung artis favorit kamu dengan membeli musik original di iTunes atau platform resmi lainnya.