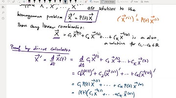
Math 55 Section 7.4 Basic Theory of Systems of First-Order Linear Equations

Tonton & Download Video Musik Gratis

⬇ DOWNLOAD NOW
Jika muncul iklan pop-up, tutup lalu klik tombol kembali

Download lagu Math 55 Section 7.4 Basic Theory of Systems of First-Order Linear Equations secara gratis hanya untuk keperluan promosi. Dukung artis favorit kamu dengan membeli musik original di iTunes atau platform resmi lainnya.